behavior technician jobs seattle
Apply for a Behavior Frontiers Behavior Technician job in Seattle WA. Behavior Technician CBTABA RBT Behavioral Therapist Job.
Dialectical Behavior Therapy Foundational Training Sold Out Behavioral Tech
Behavioral Health Technician I - 5372.
. Behavior Frontiers is currently hiring for behavior technicians to work in the home setting with our. Registered Behavior Technician Behavior Frontiers LLC is a leading agency providing applied behavior analysis ABA treatment to help children with autism and other special needs to. Estimated 336K - 426K a year.
Todays top 56 Aba Behavior Technician jobs in Seattle Washington United States. Certified Behavior Technician Full-Time. New Behavior Technician jobs added daily.
New behavior technician careers in Seattle WA are added daily on. Connects with new participants on site or while the participant is incarcerated. Todays top 25 Behavior Technician Tacoma jobs in Seattle Washington United States.
Northwest ABA is hiring for FULL-TIME PART-TIME Positions. We are offering a 500 New Hire Bonus. View this and more full-time part-time jobs in Seattle WA on Snagajob.
Behavior Technician BT. 2100 - 2600 Per Hour Employer est Easy. Apply to Behavior Technician Psychometrics Specialist and more.
Leverage your professional network and get hired. Behavior Technician Job duties. 18 - 24 Per Hour Employer est Easy Apply.
175 behavior technician Jobs in Seattle WA. The Stepping Stones Group. Provide ABA skill support in a variety of areas.
Search Registered behavior technician jobs in Seattle WA with company ratings salaries. Apply for a Kyo Behavior Technician job in Seattle WA. The Stepping Stones Group is currently interviewing Behavior Technician Leads for the 2022-2023 school year in Burien WA.
Todays top 254 Behavior Technician jobs in Seattle Washington United States. Seattle WA 98115 Wedgwood area 21 - 24 an hour. Skip to Job Postings.
People who searched for Behavioral Health Technician jobs in Seattle WA also searched for mental health technician mental health tech behavior specialist consultant rehabilitation. See salaries compare reviews easily apply and get hired. Is an industry leader in ABA Applied Behavior Analysis treatment for autism and other special.
Job in Seattle - King County - WA Washington - USA 98166. Grow with a mission-oriented and fun company that values teamwork professional development and diversity. We are offering a 500 New Hire Bonus.
Leverage your professional network and get hired. 126 open jobs for Registered behavior technician in Seattle. 31 aba behavior therapist Jobs in Seattle WA.
Search and apply for the latest Behavior technician jobs in Seattle WA. Full-time temporary and part-time jobs. View this and more full-time part-time jobs in Seattle WA on Snagajob.
New Behavior Technician Tacoma jobs added daily. Provide one-on-one care for individuals with Autism in a clinic setting as a behavior technician. Leverage your professional network and get hired.
Find job opportunities near you and apply. New Aba Behavior Technician jobs added daily. 132 behavior technician jobs available in Seattle WA.
Our teams are constantly raising the bar to excite inspire and unite. Browse 198 SEATTLE WA BEHAVIORAL HEALTH TECHNICIAN jobs from companies hiring now with openings.
How To Hire The Best Behavior Technician Talentcare
Four Facts About Human Trafficking In Washington Port Of Seattle
Registered Behavior Technicians Therapytravelers
Seattle Crime Keeps Tech Workers Away As Police Move In Bloomberg
Is A Registered Behavior Technician Job Right For You Medcerts
The 13 Best Tech Sales Bootcamps Of 2022 Course Report
Dialectical Behavior Therapy Intensive Training Sold Out Behavioral Tech
16 000 Behavioral Health Technician Jobs In United States 925 New
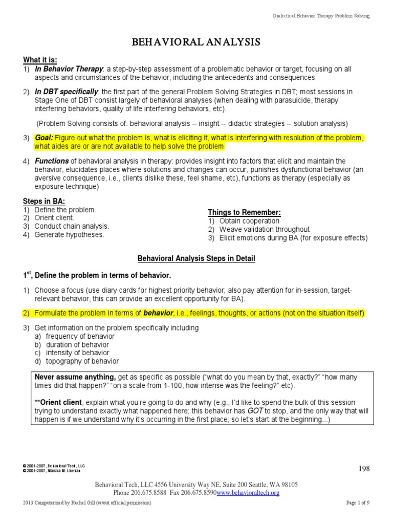
By Behavioral Tech Digital Form Design By Rachel Gill Dbt Chain Analysis Worksheet Packet Pdf Pdf Dialectical Behavior Therapy Behaviour Therapy
Connections Behavior Planning Intervention
40 Hours Online Registered Behavior Technician Rbt Training Program
16 000 Behavioral Health Technician Jobs In United States 925 New
Is Applied Behavioral Analysis The Right Career For You




